澳门金沙娱乐城-澳门金沙娱乐场_澳门百家乐官网_全讯网新2开户 (中国)·官方网站

教學周

門戶系統 學生 教師 校友 考生 VPN 郵箱 圖書館 EN

南大新聞

首頁 / 南大新聞 / 正文

化學學院蔡琥團隊再次發表JACS論文

作者:化學學院時間:2020-01-09
攝影 化學學院 單位 化學學院
  

本網訊(化學學院)在國際著名分子鐵電科學家熊仁根教授提出的“似球-非球”理論的指導下,近日,蔡琥團隊成功設計合成出了一例類陶瓷的分子鐵電體[3,2,1-dabco]BF4。在室溫下,該分子鐵電體表現出優異的鐵電性能和分子成膜性能。相關研究結果以“Rational Design of Ceramic-Like Molecular Ferroelectric by Quasi-Spherical Theory”為題,在化學領域頂級期刊《美國化學會志》(Journal of the American Chemical Society)發表。該論文的第一作者為魏振宏博士,第一完成單位和通訊作者單位均為南昌大學。這是繼2018年在JACS上報道第一例反鈣鈦礦分子鐵電體后,蔡琥團隊又一次在分子鐵電領域取得重要研究進展。

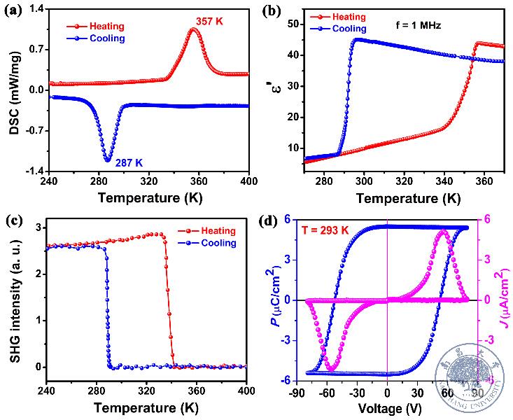
圖1.(a)類陶瓷分子鐵電體[3.2.1-dabco]BF4的合成策略示意圖, (b)分子[3.2.1-dabco]BF4立方對稱結構圖。

目前,無機陶瓷鐵電體(例如:PZT、SBT、BTO)因其成膜成本高、制備需要高溫燒結、含有潛在毒性元素等缺點,限制了其在柔性可穿戴器件的應用。與之相比,分子鐵電材料因其易于加工、對環境友好、重量輕、低聲阻抗和機械柔性而受到了研究人員的廣泛關注,它可作為常規陶瓷鐵電材料的可行替代品或有益補充。然而,由塑性相變誘發鐵電的多晶型陶瓷分子鐵電體的報道屈指可數,并且絕大部分分子鐵電體呈現單軸的鐵電性能,極大地限制了其在實際應用中的潛力。

圖2[3,2,1-dabco]BF4鐵電性能的測試表征

該研究團隊在本工作中運用“似球-非球”理論,通過化學設計的方法合成了一種在357 K上具有m3mFmm2型鐵電相變的陶瓷分子鐵電體,1,5-二氮雜二環[3.2.1]辛烷四氟化硼([3.2.1-dabco]BF4)。其可在室溫下以多晶薄膜形式顯示出色的鐵電性能。基于已報道的4/mmmFmm2型分子鐵電[2.2.2-dabco]BF4,運用化學設計的方法將[2.2.2-dabco]+陽離子改為其同分異構體[3.2.1-dabco]+,一定程度上降低了分子的對稱性并保持了準球形分子構型,從而使其極軸從2重軸提升到了6重軸,自發極化強度Ps從4.9 μC·cm-2增大到了5.5μC·cm-2。

值得一提的是,該設計思路成功地將鐵電相變從四方晶系到正交晶系的轉變擴大到從立方晶系到正交晶系的轉變。鐵電相變中極大的對稱性破缺有利于增大鐵電相到順電相的熵值,該發現將為降低制冷領域能源損耗提供一種新的途徑,是分子鐵電在固體制冷領域的新的突破。這一工作也為類陶瓷分子鐵電體的合成提供了全新的設計思路,極大地提高了其在可穿戴設備、柔性材料、生物機械等領域的應用潛力。

論文鏈接:https://pubs.acs.org/doi/10.1021/jacs.9b11665


編    輯:涂金鳳

責任編輯:許  航

bet365主页器| 利好国际| 百家乐有没有破解之法| 百家乐小型抽水泵| 大东方娱乐城| 百家乐博送彩金18| 网上棋牌室| 百家乐官网桌套装| bet365信誉好吗| 百家乐赢的方法| 客服| 百家乐的珠盘| 宝龙百家乐官网娱乐城| 公海百家乐的玩法技巧和规则| 百家乐官网去哪里玩最好| 百家乐完美一对| 百家乐官网游戏大小| 德州扑克 英文| 加州百家乐娱乐城| 奔驰百家乐官网游戏| 百家乐台布哪里有卖| 太阳城百家乐官网祖玛| 人民币棋牌游戏| 百家乐和的几率| 百家乐官网双人操作分析仪| 大发888真钱电玩游戏| 做生意适合摆放龙龟吗| 太阳城百家乐官网优惠| 百家乐破解分| 温州百家乐官网真人网| 大发888软件下载| 属猪与属狗 做生意| 衡阳县| 香港| 百家乐开闲的几率多大| 求购百家乐程序| 神娱乐百家乐的玩法技巧和规则| 网上百家乐官网公司| 百家乐官网二号博彩正网| bet365取消提款| 御匾会百家乐的玩法技巧和规则 |